Survival Prediction Calculator

About the Model
The concept for the Dialysis vs. Kidney Transplant- Estimated Survival in Ontario website was developed by Emory University and a team of researchers at Emory University, including Rachel E. Patzer, PhD, MPH, Mohua Basu, MPH, Michael Konomos, MS, Michael Patzer, BS, Christian Larsen, MD, DPhil, William M. McClellan, MD, MPH, David Howard, PhD, and Kimberly Jacob Arriola, PhD, MPH. The website is not sponsored or endorsed by Emory or otherwise connected with Emory. The data used to externally validate the models created by the Emory University team of researchers is based on Ontario data from 2004-2016 and then was translated into a website and iOS app. Data was validated by a team of Canadian researchers, including Kyla L. Naylor, PhD, Amit X. Garg, MD, PhD, Eric McArthur, MSc, Vivian Tan, BSc, and Megan McCallum, MPH.
Development of Dialysis vs. Kidney Transplant- Estimated Survival in Ontario Risk Estimates
For information on how the original tool (iChoose Kidney) was created, please see ichoosekidney.emory.edu/about/estimate-development.html.
The Dialysis vs. Kidney Transplant- Estimated Survival in Ontario tool uses data from more than 20,000 incident adult dialysis patients in Ontario and over 4000 kidney transplant recipients from January 1, 2004 to December 31, 2014, with follow-up through December 31, 2016. Logistic regression models were used to predict the 3-year risk of death for dialysis patients vs. transplant patients. Predictive accuracy of the models was assessed using the c-statistic of the associated receiver operating characteristic (ROC) curve, which estimates the probability of concordance between the observed number of deaths and the predicted number of deaths based on the model. Model calibration was assessed by comparing the observed and expected number of deaths for each model. To further examine model calibration smoothed calibration plots were produced, including their intercepts, slopes and the Brier score. A correction factor was used to recalibrate intercepts of the model, when appropriate.1
Translation of Risk Estimates into a Risk Calculator
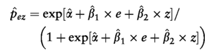
To transform our model coefficients (examples provided below) into an individualized 3-year mortality estimate the equation below was used2:

For example, 3-year mortality risk for a dialysis patient is derived from the formula below,
-2.9578 (Baseline risk) + 0.0067(Female) + 0.0388(Age) -0.2990(Black race) -0.6111(Other Race) + 0.4737(Cardiovascular disease) -0.4696(Hypertension) + 0.0169(Diabetes)
and 3-year mortality among transplant patients is derived from the formula below,
-5.4292 (Baseline risk) -0.0475(Female) + 0.0382(Age) -0.0261(Black race) -0.508 (Other race) + 0.3369(Cardiovascular disease) -0.2(Hypertension) + 0.4013 (Diabetes) + 0.136(6-12 months on dialysis) + 0.4906(>12 months on dialysis)
Where baseline risk=1; male=0, female= 1; 1=yes and 0=no for Black race, other race, cardiovascular disease, hypertension, diabetes, 6-12 months on dialysis, and >12 months on dialysis. Age is modeled as a continuous variable.
In this case, a 50 year old white male with a history of diabetes and hypertension who has been on dialysis for >12 months has a predicted probability of dying over the next 3 years of 19% on dialysis and 6% with a kidney transplant (relative risk of dying on dialysis vs. transplant is 3.2). Predicted probability of dying within the next three years with a deceased donor transplant (6%) is approximately 1.5 times higher than the predicted probability of dying with a living donor transplant (4%).
Prediction Model Discrimination and Performance
We performed an external validation of the risk prediction models for 3-year mortality in the dialysis and transplantation populations using Ontario data. The discriminatory ability of the model for 3-year mortality was moderate for dialysis (area under the curve [AUC] = 0.70 [95% confidence interval [CI]: 0.69-0.70] and for transplant (AUC =0.72 [95% CI: 0.69-0.75]). The AUC was 0.68 (95% CI: 0.64-0.71) for deceased donor transplant and 0.71 (95% CI: 0.64-0.78) for living donor transplant.
Reference:
1.
Janssen KJ, Moons KG, Kalkman CJ, Grobbee DE, Vergouwe Y. Updating methods improved the performance of a clinical prediction model in new patients. J Clin Epidemiol. 2008;61(1): 76-86.
2.
Muller CJ and MacLehose RF. Estimating predicted probabilities from logistic regression: different methods correspond to different target populations. International Journal of Epidemiology. 2014; 43 (3); 962–970.